About the (not so far) Far Infrared
When it comes to the electromagnetic spectrum, I tend to view things from the perspective of an atmospheric or astro- physicist. Normally, to me, the term far infrared means that part of the infrared spectrum at wavelengths longer than 25µm (one µm being one-millionth of a meter). This page at Cal Tech gives the astrophysical use of the divisions for near, mid, and far infrared and another Cal Tech pages goes further into talking about What is Infrared?.
Journeying into the domain of medical technology, however, we encounter a different set of divisions recommended by the CIE (International Commission on Illumination).
| Band | Name | Wavelength Range |
|---|---|---|
| IR-A | near | 0.7 µm – 1.4 µm |
| IR-B | middle | 1.4 µm – 3.0 µm |
| IR-C | far | 3.0 µm – 1000 µm |
It’s this latter set of divisions that prompts the title of this piece. To this physicist/writer, the CIE “far infrared” just doesn’t seem to start all that far out.
If one searches on “far infrared” what comes up is a combination of pages with some actual science mixed with product promotion pages written by people who seemingly haven’t a clue about infrared. I’m going to ignore phrases like “quantum energetics” and “superconducting” that are simply word-salad hype and focus just on issues about the far infrared (FIR).
Infrared and the Solar Spectrum
One misconception that gets written is that the FIR band has some connection with photosynthesis. It doesn’t. Photosynthesis uses both red and blue visible light (shorter wavelengths than IR) as shown in this hyperphysics explainer.
Another, to some extent related, misconception is that the FIR band has a significant amount of solar energy. While about 53% of solar energy is in the infrared, most of it is in the IR-A and IR-B bands, with only about 2% in the IR-C band. Here’s a quick look at the solar emission spectrum. Note the red lines showing the IR band boundaries and, in particular, the tiny one on the right at 3µm.
The actual percentages of the solar emission are in the following table. These were obtained by doing a trapezoidal integration over the entire spectrum and, separately, over each band at 0.001 µm (1 nm) resolution (for those who want to know such details). It’s pretty obvious that the FIR band (IR-C) contains only a very minor part of the solar spectrum. Thinking otherwise is a rope you can’t push.
| Band | Wavelength limits | Percent |
|---|---|---|
| IR-A | 0.7 – 1.4 | 37.1 |
| IR-B | 1.4 – 3.0 | 11.9 |
| IR-C | 3.0 – 20.0 | 2.1 |
| Total IR | 0.7 – 20.0 | 51.1 |
Far Infrared and Skin Penetration
Now, I’m going to shift over to two types of “health products”, one being infrared “saunas” that have emitters between 300ºC and 400ºC. The other would be some kind of IR “reflective” mat that would emit back heat absorbed from the person laying on it; at 37ºC (body temperature) or somewhat below. Vatansever and Hamblin (2012) provide a general review of this territory. Crinnion (2011) delves into the theme of saunas, including infrared ones.
While skin has a window of transparency in the near-IR, at wavelengths longer than one µm the absorption by liquid water increases rapidly. Since human tissue is about 70% water, that also means that such tissue rapidly becomes opaque to IR as the wavelength increases into the FIR. This is consistent with what Crinnion states.
According to research published in the 1930s, near-infrared (IR-A) has the greatest tissue penetration of the three, while far-infrared (IR-C) has practically no penetration. IR-A (700 nm – 1400 nm) has a tissue
penetration up to 5 mm. This wavelength penetrates to the subcutaneous layer and provides the best dissipation of heat from the skin surface. Mid-infrared (IR-B; 1400 nm – 3000 nm) has the next deepest tissue penetration (about 0.5 mm). IR-C (3,000 nm – 1 mm) has a tissue penetration of about 0.1 mm.
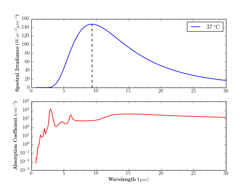
I checked this out both at the sauna temperatures and at body temperature. I used the liquid water optical properties from Hale and Querry (1973) along with Planck function (spectral blackbody calculations, integrating the incident energy and energy penetrating to several depths and expressing the latter as a percentage of the former. In doing this I adjusted the Hale and Querry data both for tissue being only 70% water and for nonnormal incidence. For the incidence, I used a “diffusivity factor” of 1.66 to scale the depth.
| Depth (cm) | 37ºC | 300ºC | 350ºC | 400ºC |
|---|---|---|---|---|
| 0.001 | 23.952 % | 43.243 % | 45.305 % | 47.059 % |
| 0.010 | 0.2361 % | 2.7760 % | 3.6335 % | 4.6449 % |
| 0.100 | 0.0000 % | 0.0733 % | 0.1475 % | 0.2663 % |
| 1.000 | 0.0000 % | 0.0001 % | 0.0005 % | 0.0017 % |
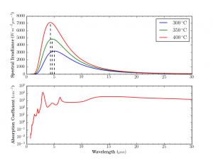
Why we get this very limited penetration of the radiation emitted at these temperatures becomes more apparent when we compare the blackbody spectra with that of the absorption coefficients. As a rough rule, the penetration depth (in cm) is one over the absorption coefficients. First for body temperature:
And next for temperatures in the range of those for IR saunas:
The IR at these emission temperatures will be absorbed at the surface. The short summary is that there’s no energy where there’s transparency and no transparency where there’s energy. The heat may reach deeper layers via circulation and conduction but it won’t penetrate directly. That’s a dog that won’t hunt.
I thank Alice Sanvito and Katie Stade for a Facebook discussion that stimulated this post.
Addendum (04/22): If you want penetrating heat, you need to be in the IR-A band. There’s a technology that does that — it’s called an incandescent heat lamp, such as these. Take a look at the charts on penetration depth and emission spectra.




Nice work! You spelled my last name wrong… 😉 😉
I found some info tonight on the sauna and was wondering if I was going to be able to find the post we had been discussing this on… And than I log in and here this is! 🙂
Name corrected. One of the motivations for blogging is being an information curator/conservator; gathering the pieces together. That even includes keeping useful links handy rather than letting them slip beneath “the waves”.
Keith, thank you so much for writing this article! I have referred to it many, many times. It’s easy to be taken in when people use sciency terms that make something sound more impressive than it really is. You’ve provided a valuable resource for massage therapists and others to consult when they need some objective information to evaluate claims. Thank you!